中国科学院上海营养与健康研究所林旭研究组与“中国慢性病前瞻性研究”(China Kadoorie Biobank,?CKB)研究团队合作,于2022年4月21日在国际知名杂志Eur J Nutr(《欧洲营养学杂志》)上发表了题为“Associations of erythrocyte polyunsaturated fatty acids with incidence of stroke and stroke types in adult Chinese: a prospective study of over 8000 individuals”的文章。
中风是国际上仅次于缺血性心脏病的第二大致死原因。在中国人群中,中风发病率(校正年龄后)居全球首位,尤其是出血性中风的比例明显高于西方人群。不健康的膳食因素如较低的水果、蔬菜、全谷物摄入和较高的钠摄入等在中风发病过程中起重要作用。西方人群研究发现食用多不饱和脂肪酸(PUFA)替代饱和脂肪酸有可能降低中风风险。但在机理研究中,PUFA中的n-3和n-6被认为是两类具有相反生理学作用的脂肪酸,它们代谢过程中也存在互相竞争的关系。由于目前在全世界范围内n-6 PUFA摄入水平远高于n-3 PUFA,因而它们对于健康的作用受到了更为广泛的关注。与传统的膳食问卷相比,血液PUFA水平是更为客观准确的指标。更为重要的是,由于红细胞具有较长的半衰期,红细胞膜的PUFA水平能够反映较为长期的体内PUFA水平。迄今为止,国际上有关红细胞膜PUFA水平与中风风险的前瞻性队列研究较为有限,而亚洲人群的研究数据尤其匮乏。
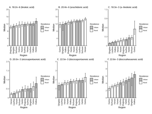
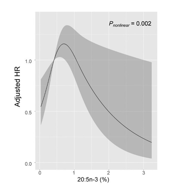
在中国科学院重点部署项目课题《中国万人脂肪酸谱的建立、特征及其与疾病的关系》的支持下,通过与CKB研究团队合作,上海营养与健康研究所(原营养科学研究所)公共技术中心运用气相色谱方法,历时3年定量检测了参加CKB项目第二次重复调查的部分志愿者的红细胞膜脂肪酸谱,建立了迄今为止全球各国中样本量最大的脂肪酸谱数据库,包括我国10个地区的10563名志愿者的30种红细胞膜脂肪酸数据。在本研究中,林旭研究员团队的孙亮副研究员等与CKB研究团队合作,系统地分析了多种红细胞膜PUFA的地域分布特征及其与不同亚型中风(如缺血性和出血性中风)发病风险的关联关系,主要发现包括:(1)多种PUFA水平在10个地区间的分布存在很大差异(图1),例如哈尔滨居民的18:2n-6(LA)水平最高,而??诰用竦?0:5n-3(EPA)和 22:6n-3(DHA)水平最高;甘肃居民的18:3n-3(ALA)和22:5n-3(DPA)水平最高,但20:4n-6(AA)和DHA水平最低。(2)在n-6 PUFA中,LA水平升高与缺血性中风的风险降低和出血性中风的风险升高均显著相关;而20:3n-6水平升高与缺血性中风的风险升高显著相关。(3)在n-3 PUFA中,EPA与缺血性中风的风险呈倒U型的非线性关系,即只有当红细胞膜EPA水平高于0.70%时,其水平的升高才与缺血性中风的风险降低有关(图2)。总之,本研究通过大样本的队列研究,首次提示不同种类的PUFA在我国不同地区人群的分布特征、不同PUFA与中风(及其亚类)发病风险存在不同的显著关联关系。该研究不仅增进了我们对中风病因学的了解,同时也为今后中风防控提供了新的证据。
中国科学院上海营养与健康研究所林旭研究员、牛津大学陈铮鸣教授为这篇论文的共同通讯作者,北京大学公共卫生学院李立明教授为这篇论文的共同资深作者;中国科学院上海营养与健康研究所孙亮副研究员和牛津大学杜怀东副教授为这篇论文的共同第一作者。本研究获得了中国科学院重点部署项目课题、中国科学院战略性科技先导专项(B类)、上海市科技重大专项、国家留学基金等的资助。CKB项目获得了国家重点研发计划项目、国家自然科学基金、UK Wellcome Trust、British Heart Foundation、UK Medical Research Council、Cancer Research United Kingdom、Kadoorie Charitable Foundation等的资助。

图1. 红细胞膜多不饱和脂肪酸水平的地区分布

图2. 红细胞膜20:5n-3水平与缺血性中风的非线性关系
文章链接:https://link.springer.com/article/10.1007/s00394-022-02879-y